欢迎大家参与本项目,贡献其他语言版本的代码,拥抱开源,让更多学习算法的小伙伴们收益!
题目链接:https://leetcode-cn.com/problems/remove-nth-node-from-end-of-list/
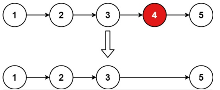
给你一个链表,删除链表的倒数第 n 个结点,并且返回链表的头结点。
进阶:你能尝试使用一趟扫描实现吗?
示例 1:
输入:head = [1,2,3,4,5], n = 2 输出:[1,2,3,5] 示例 2:
输入:head = [1], n = 1 输出:[] 示例 3:
输入:head = [1,2], n = 1 输出:[1]
双指针的经典应用,如果要删除倒数第n个节点,让fast移动n步,然后让fast和slow同时移动,直到fast指向链表末尾。删掉slow所指向的节点就可以了。
思路是这样的,但要注意一些细节。
分为如下几步:
-
首先这里我推荐大家使用虚拟头结点,这样方面处理删除实际头结点的逻辑,如果虚拟头结点不清楚,可以看这篇: 链表:听说用虚拟头节点会方便很多?
-
定义fast指针和slow指针,初始值为虚拟头结点,如图:
此时不难写出如下C++代码:
class Solution {
public:
ListNode* removeNthFromEnd(ListNode* head, int n) {
ListNode* dummyHead = new ListNode(0);
dummyHead->next = head;
ListNode* slow = dummyHead;
ListNode* fast = dummyHead;
while(n-- && fast != NULL) {
fast = fast->next;
}
fast = fast->next; // fast再提前走一步,因为需要让slow指向删除节点的上一个节点
while (fast != NULL) {
fast = fast->next;
slow = slow->next;
}
slow->next = slow->next->next;
return dummyHead->next;
}
};java:
class Solution {
public ListNode removeNthFromEnd(ListNode head, int n) {
ListNode dummy = new ListNode(-1);
dummy.next = head;
ListNode slow = dummy;
ListNode fast = dummy;
while (n-- > 0) {
fast = fast.next;
}
// 记住 待删除节点slow 的上一节点
ListNode prev = null;
while (fast != null) {
prev = slow;
slow = slow.next;
fast = fast.next;
}
// 上一节点的next指针绕过 待删除节点slow 直接指向slow的下一节点
prev.next = slow.next;
// 释放 待删除节点slow 的next指针, 这句删掉也能AC
slow.next = null;
return dummy.next;
}
}




