欢迎大家参与本项目,贡献其他语言版本的代码,拥抱开源,让更多学习算法的小伙伴们收益!
看完这篇文章虽然不能打十个,但是可以迅速打八个!而且够快!
学会二叉树的层序遍历,可以一口气撸完leetcode上八道题目:
- 102.二叉树的层序遍历
- 107.二叉树的层次遍历II
- 199.二叉树的右视图
- 637.二叉树的层平均值
- 429.N叉树的前序遍历
- 515.在每个树行中找最大值
-
- 填充每个节点的下一个右侧节点指针
- 117.填充每个节点的下一个右侧节点指针II
题目地址:https://leetcode-cn.com/problems/binary-tree-level-order-traversal/
给你一个二叉树,请你返回其按 层序遍历 得到的节点值。 (即逐层地,从左到右访问所有节点)。
思路:
我们之前讲过了三篇关于二叉树的深度优先遍历的文章:
接下来我们再来介绍二叉树的另一种遍历方式:层序遍历。
层序遍历一个二叉树。就是从左到右一层一层的去遍历二叉树。这种遍历的方式和我们之前讲过的都不太一样。
需要借用一个辅助数据结构即队列来实现,队列先进先出,符合一层一层遍历的逻辑,而是用栈先进后出适合模拟深度优先遍历也就是递归的逻辑。
而这种层序遍历方式就是图论中的广度优先遍历,只不过我们应用在二叉树上。
使用队列实现二叉树广度优先遍历,动画如下:
这样就实现了层序从左到右遍历二叉树。
代码如下:这份代码也可以作为二叉树层序遍历的模板,以后再打七个就靠它了。
C++代码:
class Solution {
public:
vector<vector<int>> levelOrder(TreeNode* root) {
queue<TreeNode*> que;
if (root != NULL) que.push(root);
vector<vector<int>> result;
while (!que.empty()) {
int size = que.size();
vector<int> vec;
// 这里一定要使用固定大小size,不要使用que.size(),因为que.size是不断变化的
for (int i = 0; i < size; i++) {
TreeNode* node = que.front();
que.pop();
vec.push_back(node->val);
if (node->left) que.push(node->left);
if (node->right) que.push(node->right);
}
result.push_back(vec);
}
return result;
}
};
此时我们就掌握了二叉树的层序遍历了,那么如下五道leetcode上的题目,只需要修改模板的一两行代码(不能再多了),便可打倒!
题目链接:https://leetcode-cn.com/problems/binary-tree-level-order-traversal-ii/
给定一个二叉树,返回其节点值自底向上的层次遍历。 (即按从叶子节点所在层到根节点所在的层,逐层从左向右遍历)
思路:
相对于102.二叉树的层序遍历,就是最后把result数组反转一下就可以了。
C++代码:
class Solution {
public:
vector<vector<int>> levelOrderBottom(TreeNode* root) {
queue<TreeNode*> que;
if (root != NULL) que.push(root);
vector<vector<int>> result;
while (!que.empty()) {
int size = que.size();
vector<int> vec;
for (int i = 0; i < size; i++) {
TreeNode* node = que.front();
que.pop();
vec.push_back(node->val);
if (node->left) que.push(node->left);
if (node->right) que.push(node->right);
}
result.push_back(vec);
}
reverse(result.begin(), result.end()); // 在这里反转一下数组即可
return result;
}
};题目链接:https://leetcode-cn.com/problems/binary-tree-right-side-view/
给定一棵二叉树,想象自己站在它的右侧,按照从顶部到底部的顺序,返回从右侧所能看到的节点值。
思路:
层序遍历的时候,判断是否遍历到单层的最后面的元素,如果是,就放进result数组中,随后返回result就可以了。
C++代码:
class Solution {
public:
vector<int> rightSideView(TreeNode* root) {
queue<TreeNode*> que;
if (root != NULL) que.push(root);
vector<int> result;
while (!que.empty()) {
int size = que.size();
for (int i = 0; i < size; i++) {
TreeNode* node = que.front();
que.pop();
if (i == (size - 1)) result.push_back(node->val); // 将每一层的最后元素放入result数组中
if (node->left) que.push(node->left);
if (node->right) que.push(node->right);
}
}
return result;
}
};题目链接:https://leetcode-cn.com/problems/average-of-levels-in-binary-tree/
给定一个非空二叉树, 返回一个由每层节点平均值组成的数组。
思路:
本题就是层序遍历的时候把一层求个总和在取一个均值。
C++代码:
class Solution {
public:
vector<double> averageOfLevels(TreeNode* root) {
queue<TreeNode*> que;
if (root != NULL) que.push(root);
vector<double> result;
while (!que.empty()) {
int size = que.size();
double sum = 0; // 统计每一层的和
for (int i = 0; i < size; i++) {
TreeNode* node = que.front();
que.pop();
sum += node->val;
if (node->left) que.push(node->left);
if (node->right) que.push(node->right);
}
result.push_back(sum / size); // 将每一层均值放进结果集
}
return result;
}
};
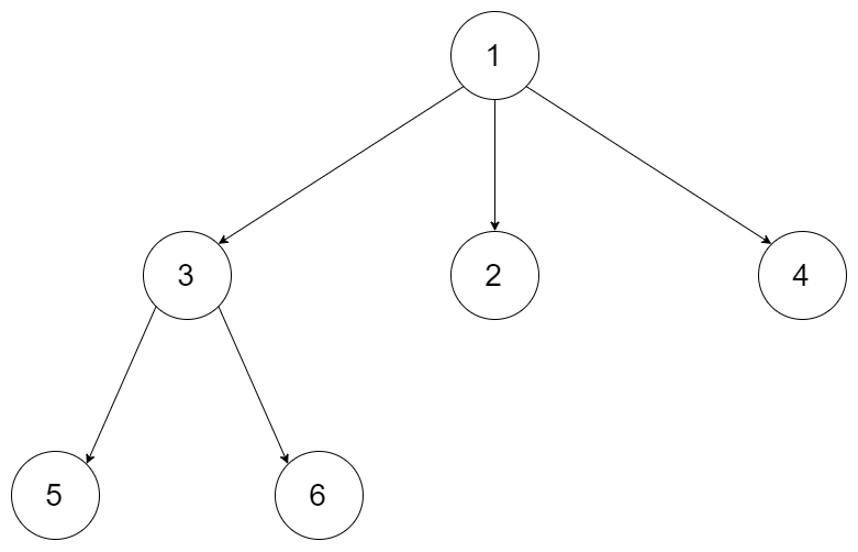
题目链接:https://leetcode-cn.com/problems/n-ary-tree-level-order-traversal/
给定一个 N 叉树,返回其节点值的层序遍历。 (即从左到右,逐层遍历)。
例如,给定一个 3叉树 :
返回其层序遍历:
[ [1], [3,2,4], [5,6] ]
思路:
这道题依旧是模板题,只不过一个节点有多个孩子了
C++代码:
class Solution {
public:
vector<vector<int>> levelOrder(Node* root) {
queue<Node*> que;
if (root != NULL) que.push(root);
vector<vector<int>> result;
while (!que.empty()) {
int size = que.size();
vector<int> vec;
for (int i = 0; i < size; i++) {
Node* node = que.front();
que.pop();
vec.push_back(node->val);
for (int i = 0; i < node->children.size(); i++) { // 将节点孩子加入队列
if (node->children[i]) que.push(node->children[i]);
}
}
result.push_back(vec);
}
return result;
}
};题目链接:https://leetcode-cn.com/problems/find-largest-value-in-each-tree-row/
您需要在二叉树的每一行中找到最大的值。
思路:
层序遍历,取每一层的最大值
C++代码:
class Solution {
public:
vector<int> largestValues(TreeNode* root) {
queue<TreeNode*> que;
if (root != NULL) que.push(root);
vector<int> result;
while (!que.empty()) {
int size = que.size();
int maxValue = INT_MIN; // 取每一层的最大值
for (int i = 0; i < size; i++) {
TreeNode* node = que.front();
que.pop();
maxValue = node->val > maxValue ? node->val : maxValue;
if (node->left) que.push(node->left);
if (node->right) que.push(node->right);
}
result.push_back(maxValue); // 把最大值放进数组
}
return result;
}
};题目链接:https://leetcode-cn.com/problems/populating-next-right-pointers-in-each-node/
给定一个完美二叉树,其所有叶子节点都在同一层,每个父节点都有两个子节点。二叉树定义如下:
struct Node {
int val;
Node *left;
Node *right;
Node *next;
}
填充它的每个 next 指针,让这个指针指向其下一个右侧节点。如果找不到下一个右侧节点,则将 next 指针设置为 NULL。
初始状态下,所有 next 指针都被设置为 NULL。
思路:
本题依然是层序遍历,只不过在单层遍历的时候记录一下本层的头部节点,然后在遍历的时候让前一个节点指向本节点就可以了
C++代码:
class Solution {
public:
Node* connect(Node* root) {
queue<Node*> que;
if (root != NULL) que.push(root);
while (!que.empty()) {
int size = que.size();
vector<int> vec;
Node* nodePre;
Node* node;
for (int i = 0; i < size; i++) {
if (i == 0) {
nodePre = que.front(); // 取出一层的头结点
que.pop();
node = nodePre;
} else {
node = que.front();
que.pop();
nodePre->next = node; // 本层前一个节点next指向本节点
nodePre = nodePre->next;
}
if (node->left) que.push(node->left);
if (node->right) que.push(node->right);
}
nodePre->next = NULL; // 本层最后一个节点指向NULL
}
return root;
}
};题目地址:https://leetcode-cn.com/problems/populating-next-right-pointers-in-each-node-ii/
思路:
这道题目说是二叉树,但116题目说是完整二叉树,其实没有任何差别,一样的代码一样的逻辑一样的味道
C++代码:
class Solution {
public:
Node* connect(Node* root) {
queue<Node*> que;
if (root != NULL) que.push(root);
while (!que.empty()) {
int size = que.size();
vector<int> vec;
Node* nodePre;
Node* node;
for (int i = 0; i < size; i++) {
if (i == 0) {
nodePre = que.front(); // 取出一层的头结点
que.pop();
node = nodePre;
} else {
node = que.front();
que.pop();
nodePre->next = node; // 本层前一个节点next指向本节点
nodePre = nodePre->next;
}
if (node->left) que.push(node->left);
if (node->right) que.push(node->right);
}
nodePre->next = NULL; // 本层最后一个节点指向NULL
}
return root;
}
};二叉树的层序遍历,就是图论中的广度优先搜索在二叉树中的应用,需要借助队列来实现(此时是不是又发现队列的应用了)。
虽然不能一口气打十个,打八个也还行。
- 102.二叉树的层序遍历
- 107.二叉树的层次遍历II
- 199.二叉树的右视图
- 637.二叉树的层平均值
- 429.N叉树的前序遍历
- 515.在每个树行中找最大值
-
- 填充每个节点的下一个右侧节点指针
- 117.填充每个节点的下一个右侧节点指针II
如果非要打十个,还得找叶师傅!
Java:
class Solution {
public List<List<Integer>> resList=new ArrayList<List<Integer>>();
public List<List<Integer>> levelOrder(TreeNode root) {
checkFun01(root,0);
return resList;
}
//递归方式
public void checkFun01(TreeNode node,Integer deep){
if(node==null) return;
deep++;
if(resList.size()<deep){
//当层级增加时,list的Item也增加,利用list的索引值进行层级界定
List<Integer> item=new ArrayList<Integer>();
resList.add(item);
}
resList.get(deep-1).add(node.val);
checkFun01(node.left,deep);
checkFun01(node.right,deep);
}
Python:
Go:









