Skip to content

Latest commit

 

History

History
32 lines (21 loc) · 670 Bytes

File metadata and controls

32 lines (21 loc) · 670 Bytes

不同的二叉搜索树 II

难度:中等

https://leetcode.cn/problems/unique-binary-search-trees-ii/

题目

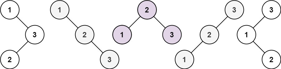
给你一个整数 n ,请你生成并返回所有由 n 个节点组成且节点值从 1n 互不相同的不同 二叉搜索树 。可以按 任意顺序 返回答案。

 

示例 1:

uniquebstn3

输入:n = 3
输出:[[1,null,2,null,3],[1,null,3,2],[2,1,3],[3,1,null,null,2],[3,2,null,1]]

示例 2:

输入:n = 1
输出:[[1]]

解题