Reproducing Lucas' Graph Partitioning Example #15
-
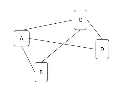
I have been trying to wrap my head around how to formulate other problems into an Ising model so that it can be solved using the simulated bifurcation algorithm. Thus, I started going through each section of Lucas' paper to see if I could solve each type of problem. I was successful with the Number Partitioning problem (section 2.1), which seemed quite straightforward. However, I am now stuck on the Graph Partitioning problem (section 2.2) as it isn't at all clear how to generate the required inputs for SB (namely, the where, and From what I can understand, For a more concrete example, let's say we start with the following graph, According to Lucas, we ask:
I recognize that given the 4 vertices (A, B, C, D), the objective is to split vertices into two separate groups and where each group is represented by either a positive spin Any suggestions or guidance as to how I'd proceed to formulate this for SB would be greatly appreciated. Thanks in advance! |
Beta Was this translation helpful? Give feedback.
Replies: 2 comments 6 replies
-
Derivation of
|
Beta Was this translation helpful? Give feedback.
-
|
By the way, at first I did not pay attention but in Lucas' paper, the set of edges Denote by |
Beta Was this translation helpful? Give feedback.


Derivation of$H_A$
Let$\unicode{x1D7D9}$ be the vector of size $N$ whose entries are all $1$ 's and let $s$ be a spin vector. First start by rewriting the sum as a dot product:
Then using the associativity and the linearity of the matrix product: