How to solve this strange BTE problem #1021
Unanswered
oscillatortyy
asked this question in
Q&A
Replies: 1 comment
-
|
Beta Was this translation helpful? Give feedback.
0 replies
Sign up for free
to join this conversation on GitHub.
Already have an account?
Sign in to comment
Uh oh!
There was an error while loading. Please reload this page.
-
Hello ,community!
Dear Lulu, thank you so much for your contribution to this library @lululxvi
I recently learned to use this library, and now I have a rather strange problem to solve
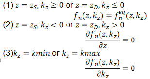
I'm going to solve a BTE.
We don't have a reference solution, but what we have is the values of the grid points z, kz and the corresponding velocity vn, force Fn, term of scattering Q, distribution function fn and fneq is used for Dirichlet boundary conditions
So I need to use these grid points to predict the distribution function fn through a PINN,
Now I have a few questions:
1.What should I do with vn,Fn,Q, can it be used as output?
2.What to do with these grid points as training data?Do I need to use anchors?Does PointSetBC have anything to do with this?
3.How to define boundary conditions?
Thank you very much and look forward to receiving your early reply!
Beta Was this translation helpful? Give feedback.
All reactions