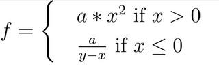
Вычислить целочисленное выражение:
Вычислить целочисленное выражение:
Дан массив 28 элемент. Поместить в начало массива отрицательные элементы, а середину - положительные, а конец - нулевые. Организовать ввод массива и вывод результатов.
Даны две строки одинаковой длины, не превышающей 125 символов. Исключить повторяющиеся фрагменты. Второй модуль должен использовать ковенцию: register. Третий модуль должен использовать ковенцию: stdcall.
Дан текст 32 символа, состоящий из слов, разделенных одним пробелом. Определить количество слов и количество букв в каждом слове.
Разработать грамматику и распознаватель языка программирования C++ описаний структурных типов данных, включающего описание массивов, строк и структур. Предусмотреть следующие типы элементов: float
, int
, char
, unsigned char
. Например:
int aer[8];
char record[80];
struct student { char name[22]; char family[22]; int old; } st1,ft;